 |

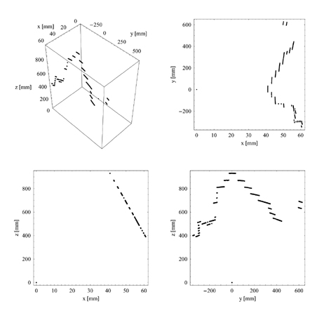
difference image for child seat profile

distance distribution of profile |
|
Occupant Sensing Prototype for Vehicles (2)
after
taken two images, one with one without the projected line the
difference image is processed by removing lens distortion and the
distance estimation algorithm (results below). The distance
distribution histogram differs from a normal person, so this is
the trigger to avoid the deflation of the airbag. |  | | |  | |
|